Klienci nie wiedzą kiedy mogą kupić w Internecie prezenty świąteczne w najlepszej cenie

W grudniu rosną ceny perfum i drobnego AGD, a spadają telewizorów, smartfonów oraz gier komputerowych.
O autorze
4 min czytania 2016-12-22

Prezenty warto kupować już w listopadzie, bo są wtedy tańsze, czy licząc na promocje, czekać z nimi aż do grudnia? Jak wynika z drugiej edycji „Świątecznego barometru cenowego”, przygotowanego przez ekspertów Deloitte, wszystko zależy od kategorii produktów, które chcemy kupić. Analiza ofert 800 sklepów internetowych przeprowadzona przez Deloitte we współpracy z firmą Dealavo pokazuje, że w trwającym gorącym okresie ostatnich tygodni (21 listopada br. – 14 grudnia br.) najczęstsze wzrosty cen dotyczyły drobnego AGD, zestawów VR oraz perfum, które wraz z kosmetykami znajdują się na szczycie listy prezentów, które Polacy zamierzają podarować najbliższym. Z kolei w tym samym okresie potaniały głównie telewizory, gry komputerowe oraz smartfony. Zdaniem ekspertów Deloitte klientom e-commerce jest więc bardzo trudno przewidzieć, ceny których prezentów w okresie przedświątecznym wzrosną, a których spadną. 

Z międzynarodowego badania Deloitte analizującego świąteczne zwyczaje konsumentów wynika, że w tym roku 23 proc. Polaków deklarowało zakup prezentów już w listopadzie, a 33 proc. chciało wybrać się na zakupy w pierwszej połowie grudnia. „Zapewne część osób planując zakupy świąteczne już w listopadzie kieruje się zapobiegliwością i niechęcią do uczestnictwa w przedświątecznej gorączce. Nie można jednak wykluczyć, że ci, którzy decydują się na zakup prezentów w listopadzie liczyli również na niższe ceny. Nasza analiza pokazała jednak, że nie zawsze taka strategia musi przynieść oczekiwane przez klientów rezultaty, szczególnie gdy decydujemy się na zakupy internetowe” – mówi Magdalena Jończak, Partner w Dziale Konsultingu Deloitte.

Dzięki corocznemu badaniu Deloitte analizującego zwyczaje świąteczne m.in. Polaków znane są kategorie produktów, które najchętniej kupujemy jako prezenty. Do badania zostało wybranych więc dziesięć najpopularniejszych produktów świątecznych z poniższych kategorii: gry, konsole, AGD drobne, kosmetyki, książki, muzyka, okulary VR, perfumy, gry planszowe, słodycze, smartfony, telewizory, zabawki oraz zegarki. Za pomocą oprogramowania Dealavo Smart Prices konkretne oferty tych produktów zostały wyszukane, podłączone do codziennego monitoringu i pogrupowane w koszyki odpowiadające profilom zakupowym klientów. Wartość każdego koszyka została wyliczona dla wszystkich monitorowanych e-sklepów, które posiadały w swojej ofercie co najmniej 70 proc. produktów z koszyka. Ocenie podlegała tylko cena bez np. jakości serwisu, warunków zwrotu towaru, siły marki sklepu czy kosztów transportu. 

Jak wynika z analizy Deloitte i Dealavo największe różnice średnich cen w analizowanych kategoriach w okresie 21 listopada br. – 14 grudnia br. występują w przypadku gier komputerowych, muzyki, okularów VR oraz drobnego AGD. „W przypadku gier średni koszt koszyka analizowanych produktów w badanym okresie różnił się o 7 proc. Najdrożej było 21 listopada, a najtaniej 14 grudnia. Ciekawym faktem jest to, że dwie spośród dziesięciu badanych gier były najdroższe podczas Cyber Monday, co jest sprzeczne z przekazem marketingowym, który od sprzedawców otrzymują klienci” – mówi Jakub Kot, Prezes Dealavo. Największa różnica w średniej cenie gry komputerowej dotyczyła Titanfall 2 (PC), która wyniosła aż 48 proc. W przypadku gry Dishonored 2 (PS4) różnica wynosiła 20 proc.

LinkedIn logo
Na LinkedInie obserwuje nas ponad 100 tys. osób. Jesteś tam z nami?
Obserwuj

„Ciekawym przypadkiem są produkty z kategorii muzyka. W przypadku sześciu z dziewięciu analizowanych albumów ceny były najwyższe właśnie w Cyber Monday. Z kolei kategorią, która rzeczywiście sprzedaje się tego dnia najtaniej były konsole. Aż siedem na dziewięć analizowanych produktów było najtańszych właśnie w poniedziałek 28 listopada br. Nie ma więc jednego klucza decydującego o wzroście lub spadku cen. Widzimy, że część z nich zmienia się bardzo dynamicznie, a w przypadku innych produktów ceny praktycznie na przestrzeni miesiąca stoją w miejscu” – mówi Mariusz Chmurzyński, Dyrektor w Dziale Konsultingu Deloitte.

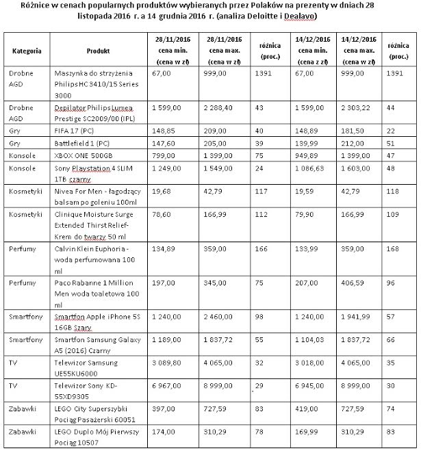
 Różnice w cenach popularnych produktów wybieranych przez Polaków na prezenty w dniach 28 listopada 2016 r. a 14 grudnia 2016 r.

Słuchaj podcastu NowyMarketing

NowyMarketing logo
Mamy newsletter, który rozwija marketing w Polsce. A Ty czytasz?
Rozwijaj się

Porównując ceny produktów wybranych w trakcie pierwszej edycji Świątecznego barometru cenowego, widzimy, że ceny minimalne 50 proc. produktów zostały jeszcze bardziej obniżone, a ceny minimalne pięciu na szesnaście wybranych produktów wzrosły.

Biorąc pod uwagę wszystkie produkty w analizowanym okresie, w przypadku ok. jednej czwartej produktów nastąpiła podwyżka cen, a w przypadku 22 proc. doszło do jej obniżenia, a dla 54 proc. produktów pozostała ona bez zmian.

„Spośród analizowanych produktów, które są najczęściej wybierane przez Polaków na prezenty, najwięcej podwyżek nastąpiło w kategorii drobne AGD. Dotyczyło to aż 37 proc. produktów. W przypadku najtańszego sklepu z dnia 28 listopada br. sprzedającego drobny sprzęt AGD ceny wzrosły o 9,1 proc. Z kolei wartość koszyka w jednym ze sklepów zajmujących się sprzedażą tradycyjną oraz internetową spadła o 6,7 proc.” – mówi Krzysztof Boś, Starszy Konsultant w Dziale Konsultingu Deloitte.

W przypadku okularów VR podwyżka cen w analizowanym okresie dotyczyła 36 proc. produktów, a perfum 31 proc. artykułów.

Perfumy wraz z kosmetykami są w tym roku najczęściej i najchętniej wymieniane jako prezenty dla najbliższych. Wszystkie analizowane perfumy zdrożały średnio o 1,6 proc., a ponad 10 proc. ze wszystkich analizowanych sklepów podrożało o co najmniej 4 proc. Jeżeli chodzi o książki, które również są chętnie wybierane na prezenty, ceny wzrosły w przypadku 27 proc. produktów, a zabawek dla dzieci 28 proc. analizowanych artykułów.

Z kolei najwięcej spadków cen dotyczyło telewizorów. Aż 40 proc. produktów z tej kategorii potaniało pomiędzy 28 listopada, a 14 grudnia. W przypadku gier spadki cen dotknęły 39 proc. artykułów, a smartfonów 35 proc. produktów. „Należy pamiętać, że są to produkty najczęściej reklamowane w okresie przedświątecznym przez sprzedawców internetowych, którzy promują się również bardzo intensywnie w mediach tradycyjnych. Z zakupem telewizorów, smartfonów i gier komputerowych konsumenci mogli spokojnie poczekać więc do grudnia, bo po Cyber Monday ich ceny nie poszły w górę, a w wielu przypadkach było wręcz odwrotnie” – mówi Magdalena Jończak. Z kolei kategorią, która najsłabiej podlegała fluktuacjom cenowym w analizowanym okresie były zegarki.

Zdaniem ekspertów Deloitte sprzedawcy e-commerce na tyle dynamicznie w ostatnich tygodniach zarządzali swoją strategią cenową, że klienci nie są w stanie przewidzieć, kiedy dany produkt, którym są zainteresowani potanieje lub zdrożeje, co znacznie utrudnia proces zakupowy.